(Действующий) Постановление Правительства РФ от 30 декабря 2012 г. N 1484 "Об...

Докипедия просит пользователей использовать в своей электронной переписке скопированные части текстов нормативных документов. Автоматически генерируемые обратные ссылки на источник информации, доставят удовольствие вашим адресатам.

Действующий

Постановление Правительства РФ от 30 декабря 2012 г. N 1484 "Об утверждении Правил определения количества пассажиров для целей расчета страховой премии по договору обязательного страхования гражданской ответственности перевозчика за причинение вреда жизни, здоровью и имуществу пассажиров"

В соответствии с частью 6 статьи 11 Федерального закона "Об обязательном страховании гражданской ответственности перевозчика за причинение вреда жизни, здоровью, имуществу пассажиров и о порядке возмещения такого вреда, причиненного при перевозках пассажиров метрополитеном" Правительство Российской Федерации постановляет:
1. Утвердить прилагаемые Правила определения количества пассажиров для целей расчета страховой премии по договору обязательного страхования гражданской ответственности перевозчика за причинение вреда жизни, здоровью и имуществу пассажиров.
2. Рекомендовать органам исполнительной власти субъектов Российской Федерации и органам местного самоуправления в случаях, предусмотренных Правилами, утвержденными настоящим постановлением, предоставлять перевозчикам справки.
Председатель Правительства
Российской Федерации
Д. Медведев
Москва
30 декабря 2012 г. N 1484

Правила
определения количества пассажиров для целей расчета страховой премии по договору обязательного страхования гражданской ответственности перевозчика за причинение вреда жизни, здоровью и имуществу пассажиров
(утв. постановлением Правительства РФ от 30 декабря 2012 г. N 1484)

1. Настоящие Правила устанавливают порядок определения количества пассажиров, перевозимых автомобильным, внеуличным, внутренним водным, воздушным, железнодорожным, морским и городским наземным электрическим транспортом, для целей расчета страховой премии по договору обязательного страхования гражданской ответственности перевозчика за причинение вреда жизни, здоровью и имуществу пассажиров (далее соответственно - договор обязательного страхования, количество пассажиров).
2. Определение количества пассажиров осуществляется перевозчиком в соответствии с пунктами 3 - 9 настоящих Правил раздельно по каждому виду транспорта и следующим видам перевозок:
на железнодорожном транспорте:
перевозки поездами дальнего следования;
перевозки в пригородном сообщении;
на воздушном транспорте - вне зависимости от вида перевозки;
на морском транспорте - вне зависимости от вида перевозки;
на внутреннем водном транспорте:
перевозки по транспортным и экскурсионно-прогулочным маршрутам;
перевозки по туристским маршрутам;
на автомобильном транспорте:
автобусные перевозки в междугородном и международном сообщении;
автобусные перевозки в пригородном сообщении;
автобусные перевозки в городском сообщении по заказам и автобусные регулярные перевозки в городском сообщении с посадкой и высадкой пассажиров в любом не запрещенном правилами дорожного движения месте по маршрутам регулярных перевозок (далее - маршруты);
автобусные регулярные перевозки в городском сообщении с посадкой и высадкой пассажиров только в установленных остановочных пунктах по маршрутам;
на городском наземном электрическом транспорте:
перевозки троллейбусами;
перевозки трамваями;
на внеуличном транспорте - вне зависимости от вида перевозки.
Количество пассажиров указывается в заявлении, представляемом страховщику при заключении договора обязательного страхования с приложением документов, обосновывающих расчет количества пассажиров.
3. Количество пассажиров, за исключением случаев, предусмотренных абзацем вторым настоящего пункта, определяется путем умножения количества пассажиров, определяемого в соответствии с пунктами 4 - 9 настоящих Правил, на величину срока действия заключаемого договора обязательного страхования (дней), разделенного на 365.
Количество пассажиров по договору обязательного страхования при перевозках внутренним водным транспортом, заключаемому на срок менее 1 года, определяется в соответствии с пунктами 4 - 7 настоящих Правил.
4. При перевозках, осуществляемых перевозчиками, на которых законодательством Российской Федерации возложена обязанность представлять субъектам официального статистического учета первичные статистические данные в рамках организации федерального статистического наблюдения за деятельностью в сфере транспорта (за  исключением перевозчиков, не представлявших первичные статистические данные о соответствующих перевозках в течение полных 4 кварталов, предшествующих кварталу, в котором заключается договор обязательного страхования), количество пассажиров определяется количеством перевезенных пассажиров, отраженным в формах федерального статистического наблюдения по видам транспорта, за последние 4 квартала, предшествующих кварталу, в котором заключается договор обязательного страхования.
В случае если формы федерального статистического наблюдения не обеспечивают возможность раздельного определения количества пассажиров при заключении договора обязательного страхования по видам перевозок, указанным в пункте 2 настоящих Правил, количество пассажиров определяется в соответствии с пунктами 5 и 7 настоящих Правил.
При перевозках, осуществляемых перевозчиками, не указанными в абзаце первом настоящего пункта, количество пассажиров определяется в соответствии с пунктами 5 - 9 настоящих Правил.
5. При регулярных перевозках (за исключением автобусных перевозок), осуществляемых перевозчиками, применяющими упрощенную систему налогообложения (за исключением перевозчиков, не осуществлявших указанные перевозки в течение полных 4 кварталов, предшествующих кварталу, в котором заключается договор обязательного страхования), расчетное количество перевезенных пассажиров определяется по формуле:
,
где:
D - сумма полученных доходов, являющихся базой для исчисления сумм авансовых платежей по налогу, уплачиваемому в связи с применением упрощенной системы налогообложения, за последние 4 квартала, предшествующих кварталу, в котором заключается договор обязательного страхования (рублей);
Т - средний тариф за проезд, определяемый как средняя арифметическая величина тарифов за проезд, применявшихся перевозчиком при перевозке пассажиров в течение 4 кварталов, предшествующих кварталу, в котором заключается договор обязательного страхования, за которые уплачены авансовые платежи по налогу, уплачиваемому в связи с применением упрощенной системы налогообложения (рублей).
Средний тариф за проезд определяется в 2 этапа.
На 1-м этапе среднемесячный тариф за проезд за последние 4 квартала, за которые подлежали уплате авансовые платежи по налогу, уплачиваемому в связи с применением упрощенной системы налогообложения по i-му маршруту, определяется по формуле:
,
где
- тариф за проезд в k-м месяце по i-му маршруту (рублей).
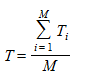
На 2-м этапе средний тариф за проезд за 12 календарных месяцев определяется по формуле:
,
где
M - количество маршрутов (штук).
6. При регулярных перевозках (за исключением автобусных перевозок), осуществляемых перевозчиками, применяющими систему налогообложения в виде единого налога на вмененный доход для отдельных видов деятельности (за исключением перевозчиков, не осуществлявших указанные перевозки в течение полных 4 кварталов, предшествующих кварталу, в котором заключается договор обязательного страхования), расчетное количество перевезенных пассажиров определяется по формуле:
,